SOLUTION: solve for x log4(x+4)-log4(x-1)=3
Algebra
->
Logarithm Solvers, Trainers and Word Problems
-> SOLUTION: solve for x log4(x+4)-log4(x-1)=3
Log On
Algebra: Logarithm
Section
Solvers
Solvers
Lessons
Lessons
Answers archive
Answers
Click here to see ALL problems on logarithm
Question 202035
:
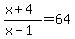
solve for x
log4(x+4)-log4(x-1)=3
Answer by
nerdybill(7384)
(
Show Source
):
You can
put this solution on YOUR website!
.
Applying log rules, we get: