SOLUTION: Hello! Use the Laws of Logarithms to combine the expression. 2ln(9)-5ln(x)+5ln(x^2+9) thanks for your help!

Algebra ->  Logarithm Solvers, Trainers and Word Problems -> SOLUTION: Hello! Use the Laws of Logarithms to combine the expression. 2ln(9)-5ln(x)+5ln(x^2+9) thanks for your help!      Log On


   



Question 198954: Hello!
Use the Laws of Logarithms to combine the expression.

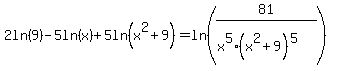
2ln(9)-5ln(x)+5ln(x^2+9)
thanks for your help!

Answer by jim_thompson5910(35256) About Me  (Show Source):
You can put this solution on YOUR website!
2ln%289%29-5ln%28x%29%2B5ln%28x%5E2%2B9%29 Start with the given expression.


ln%289%5E2%29-ln%28x%5E5%29%2Bln%28%28x%5E2%2B9%29%5E5%29 Rewrite the logs using the identity y%2Aln%28x%29=ln%28x%5Ey%29


ln%2881%29-ln%28x%5E5%29%2Bln%28%28x%5E2%2B9%29%5E5%29 Square 9 to get 81


ln%2881%29-ln%28x%5E5%28x%5E2%2B9%29%5E5%29 Combine the logs using the identity ln%28A%29%2Bln%28B%29=ln%28A%2AB%29


ln%2881%2F%28x%5E5%28x%5E2%2B9%29%5E5%29%29 Combine the logs using the identity ln%28A%29-ln%28B%29=ln%28A%2FB%29



So 2ln%289%29-5ln%28x%29%2B5ln%28x%5E2%2B9%29=ln%2881%2F%28x%5E5%28x%5E2%2B9%29%5E5%29%29