SOLUTION: a=p(1+r/n)^nt 5000=250(1+r/4)^40 ? I don't know where to go from here.

Algebra ->  Logarithm Solvers, Trainers and Word Problems -> SOLUTION: a=p(1+r/n)^nt 5000=250(1+r/4)^40 ? I don't know where to go from here.      Log On


   



Question 185731: a=p(1+r/n)^nt
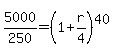
5000=250(1+r/4)^40
? I don't know where to go from here.

Answer by jim_thompson5910(35256) About Me  (Show Source):
You can put this solution on YOUR website!
I'm assuming that you want to solve for "r" right? If so, then I'll start where you left off.


5000=250%281%2Br%2F4%29%5E40 Start with the given equation


5000%2F250=%281%2Br%2F4%29%5E40 Divide both sides by 250


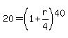
20=%281%2Br%2F4%29%5E40 Reduce


root%2840%2C20%29=1%2Br%2F4 Take the 40th root of both sides (this is probably where you got stuck)


1.0778=1%2Br%2F4 Evaluate the 40th root of 20 to get roughly 1.0778


1.0778-1=r%2F4 Subtract 1 from both sides.


0.0778=r%2F4 Subtract


0.0778%2A4=r Multiply both sides by 4 to isolate "r"


0.3112=r Multiply


So the answer is r=0.3112 which means that the interest rate is 31.12% (just multiply by 100 to get a percentage)