SOLUTION: Hopefully I've submitted this in the right place to transform a logarithmic expression. Express log x 4/9 in terms of log x 3/2 I worked it out through guesswork as, -2 log

Algebra ->  Logarithm Solvers, Trainers and Word Problems -> SOLUTION: Hopefully I've submitted this in the right place to transform a logarithmic expression. Express log x 4/9 in terms of log x 3/2 I worked it out through guesswork as, -2 log       Log On


   



Question 177444: Hopefully I've submitted this in the right place to transform a logarithmic expression.
Express log x 4/9 in terms of log x 3/2
I worked it out through guesswork as, -2 log x 3/2, but can anyone explain the answer and if this is correct.
Thanks

Found 2 solutions by stanbon, solver91311:
Answer by stanbon(75887) About Me  (Show Source):
You can put this solution on YOUR website!
Express log(base x) 4/9 in terms of log(base x) 3/2
-------------------
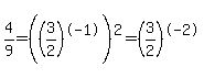
log(basex) 4/9
= log(basex) (2/3)^2
= log(basex) (3/2)^(-2)
= -2log(basex) (3/2)
===========================
Cheers,
Stan H.

Answer by solver91311(24713) About Me  (Show Source):
You can put this solution on YOUR website!
I think you mean log%28x%2C%284%2F9%29%29 expressed in terms of log%28x%2C%283%2F2%29%29

Your answer is correct. Here's why:

4%2F9=2%5E2%2F3%5E2=%282%2F3%29%5E2

For any non-zero a, a%5E-1=1%2Fa, and for any non-zero a, m, and n, a%5Em%5En=a%5Emn so that means we can say: 4%2F9=%28%283%2F2%29%5E-1%29%5E2=%283%2F2%29%5E-2

For any a%3E0, b%3E0, n, log%28b%2C%28a%5En%29%29+=+n%2Alog%28b%2C%28a%29%29

Now we can say: , presuming x+%3E+0