SOLUTION: how do you write the expression as a single logarithum: 1/2[log(base4)(x+1) + 2log(base4)(x-1)] +6log(base4)(x)

Algebra ->  Logarithm Solvers, Trainers and Word Problems -> SOLUTION: how do you write the expression as a single logarithum: 1/2[log(base4)(x+1) + 2log(base4)(x-1)] +6log(base4)(x)      Log On


   



Question 174002: how do you write the expression as a single logarithum:
1/2[log(base4)(x+1) + 2log(base4)(x-1)] +6log(base4)(x)

Answer by gonzo(654) About Me  (Show Source):
You can put this solution on YOUR website!
your equation is:
1/2[log(base4)(x+1) + 2log(base4)(x-1)] +6log(base4)(x)
this looks to me like:

-----
you have a couple of concepts to work with:
these are:
log%284%2Ca%29+%2B+log%284%2Cb%29+=+log%284%2Ca%2Ab%29
c%2Alog%284%2Ca%29+=+log%284%2Ca%5Ec%29
-----
we will remove the inner parentheses first and work outwards.
you have:
2%2Alog%284%2Cx-1%29
this becomes:
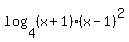
log%284%2C%28x-1%29%5E2%29
-----
working our way outwards, you have:
log%284%2Cx%2B1%29+%2B+log%284%2C%28x-1%29%5E2%29
this becomes:
log%284%2C%28x%2B1%29%2A%28x-1%29%5E2%29
working our way outwards again, you have:
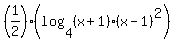
%281%2F2%29%2A%28log%284%2C%28x%2B1%29%2A%28x-1%29%5E2%29%29
this becomes:
log%284%2C%28%28x%2B1%29%2A%28x-1%29%5E2%29%5E%281%2F2%29%29
we now have in total:
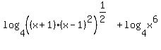
log%284%2C%28%28x%2B1%29%2A%28x-1%29%5E2%29%5E%281%2F2%29%29+%2B+6%2Alog%284%2Cx%29
6%2Alog%284%2Cx%29+=+log%284%2Cx%5E2%29
so we have:
log%284%2C%28%28x%2B1%29%2A%28x-1%29%5E2%29%5E%281%2F2%29%29+%2B+log%284%2Cx%5E6%29
and this becomes:
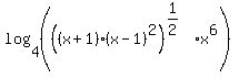
log%284%2C%28%28%28x%2B1%29%2A%28x-1%29%5E2%29%5E%281%2F2%29%2Ax%5E6%29%29
-----
i checked the answer and it appears to be good.
i did this by solving both equations for a given value of x.
i used x = 2.
i got the same answer both ways (the original equation and the condensed equation).
-----
you can solve this as well if you wish to prove the answer is good.
you can use your calculator by converting to base 10 as follows:
log4%2Cx%29+=+log%2810%2Cx%29%2Flog%2810%2C4%29
-----