SOLUTION: I know how logarithms work, but how were they solved before there were calculators?

Algebra ->  Logarithm Solvers, Trainers and Word Problems -> SOLUTION: I know how logarithms work, but how were they solved before there were calculators?      Log On


   



Question 173873: I know how logarithms work, but how were they solved before there were calculators?
Found 2 solutions by nycsub_teacher, solver91311:
Answer by nycsub_teacher(90) About Me  (Show Source):
You can put this solution on YOUR website!
You can find the answer here:
http://www.humboldt.edu/~mef2/Presentations/HSU%20Colloquia/colloq2_4_99.html

Answer by solver91311(24713) About Me  (Show Source):
You can put this solution on YOUR website!
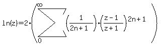
Obviously, even with calculators, numerical representations of logarithms are approximations. The only consideration is how precise you need to be. The following infinite series converges at ln%28z%29.



So, you keep adding terms until you reach the precision you need. People have spent their entire lives creating books filled with numbers based on such calculations.