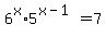
SOLUTION: {{{6^x*5^(x-1)=7}}}
Algebra
->
Logarithm Solvers, Trainers and Word Problems
-> SOLUTION: {{{6^x*5^(x-1)=7}}}
Log On
Algebra: Logarithm
Section
Solvers
Solvers
Lessons
Lessons
Answers archive
Answers
Click here to see ALL problems on logarithm
Question 172997
:
Answer by
Alan3354(69443)
(
Show Source
):
You can
put this solution on YOUR website!
-----------
x*log(6) + (x-1)*log(5) = log(7) (all logs have the same base)
x*(log(6)+log(5)) = log(7) + log(5)
x*log(30) = log(35)
x = log(35)/log(30)
x = 1.045322474