SOLUTION: Log(2) (x-8) + Log(2) (x+4) = 5

Algebra ->  Logarithm Solvers, Trainers and Word Problems -> SOLUTION: Log(2) (x-8) + Log(2) (x+4) = 5      Log On


   



Question 172820: Log(2) (x-8) + Log(2) (x+4) = 5
Found 3 solutions by nerdybill, Alan3354, josmiceli:
Answer by nerdybill(7384) About Me  (Show Source):
You can put this solution on YOUR website!
Apply log rules. Review them at:
http://www.purplemath.com/modules/logrules.htm
.
Log(2) (x-8) + Log(2) (x+4) = 5
Log(2) [(x-8)(x+4)] = 5
(x-8)(x+4) = 2^5
(x-8)(x+4) = 32
x^2-4x-32 = 32
x^2-4x-64 = 0
.
Since we can't factor, we must use the quadratic formula. Doing so yields:
x = {10.246, -6.246}
.
Details of quadratic below:
Solved by pluggable solver: SOLVE quadratic equation with variable
Quadratic equation ax%5E2%2Bbx%2Bc=0 (in our case 1x%5E2%2B-4x%2B-64+=+0) has the following solutons:

x%5B12%5D+=+%28b%2B-sqrt%28+b%5E2-4ac+%29%29%2F2%5Ca

For these solutions to exist, the discriminant b%5E2-4ac should not be a negative number.

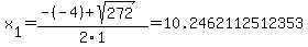
First, we need to compute the discriminant b%5E2-4ac: b%5E2-4ac=%28-4%29%5E2-4%2A1%2A-64=272.

Discriminant d=272 is greater than zero. That means that there are two solutions: +x%5B12%5D+=+%28--4%2B-sqrt%28+272+%29%29%2F2%5Ca.

x%5B1%5D+=+%28-%28-4%29%2Bsqrt%28+272+%29%29%2F2%5C1+=+10.2462112512353
x%5B2%5D+=+%28-%28-4%29-sqrt%28+272+%29%29%2F2%5C1+=+-6.24621125123532

Quadratic expression 1x%5E2%2B-4x%2B-64 can be factored:
1x%5E2%2B-4x%2B-64+=+1%28x-10.2462112512353%29%2A%28x--6.24621125123532%29
Again, the answer is: 10.2462112512353, -6.24621125123532. Here's your graph:
graph%28+500%2C+500%2C+-10%2C+10%2C+-20%2C+20%2C+1%2Ax%5E2%2B-4%2Ax%2B-64+%29

Answer by Alan3354(69443) About Me  (Show Source):
You can put this solution on YOUR website!
Log(2) (x-8) + Log(2) (x+4) = 5
---------------
Assuming you mean log base 2:
log%282%2C%28x-8%29%29+%2B+log%282%2C%28x%2B4%29%29+=+5
log%282%2C%28x-8%29%2A%28x%2B4%29%29+=+5 Adding logs implies multiplying
(x-8)*(x+4)) = 2^5 = 32
x%5E2+-+4x+-+32+=+32
x%5E2+-+4x+-+64+=+0
Solved by pluggable solver: SOLVE quadratic equation (work shown, graph etc)
Quadratic equation ax%5E2%2Bbx%2Bc=0 (in our case 1x%5E2%2B-4x%2B-64+=+0) has the following solutons:

x%5B12%5D+=+%28b%2B-sqrt%28+b%5E2-4ac+%29%29%2F2%5Ca

For these solutions to exist, the discriminant b%5E2-4ac should not be a negative number.

First, we need to compute the discriminant b%5E2-4ac: b%5E2-4ac=%28-4%29%5E2-4%2A1%2A-64=272.

Discriminant d=272 is greater than zero. That means that there are two solutions: +x%5B12%5D+=+%28--4%2B-sqrt%28+272+%29%29%2F2%5Ca.

x%5B1%5D+=+%28-%28-4%29%2Bsqrt%28+272+%29%29%2F2%5C1+=+10.2462112512353
x%5B2%5D+=+%28-%28-4%29-sqrt%28+272+%29%29%2F2%5C1+=+-6.24621125123532

Quadratic expression 1x%5E2%2B-4x%2B-64 can be factored:
1x%5E2%2B-4x%2B-64+=+%28x-10.2462112512353%29%2A%28x--6.24621125123532%29
Again, the answer is: 10.2462112512353, -6.24621125123532. Here's your graph:
graph%28+500%2C+500%2C+-10%2C+10%2C+-20%2C+20%2C+1%2Ax%5E2%2B-4%2Ax%2B-64+%29

-------------
The negative answer won't work, so it's
2 + 2sqrt(17)



Answer by josmiceli(19441) About Me  (Show Source):
You can put this solution on YOUR website!
log%282%29%2A%28x-8%29+%2B+log%282%29%2A%28x%2B4%29+=+5
log%282%29%2A%28x+-+8+%2B+x+%2B+4%29+=+5
log%282%29+%2A%282x+-+4%29+=+5
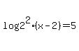
2%2Alog%282%29%2A%28x+-+2%29+=+5
log%282%5E2%29%2A%28x-2%29+=+5
x+-+2+=+5%2Flog%284%29
x+=+5%2Flog%284%29+%2B+2 answer
I'll check the answer
log%282%29%2A%28x-8%29+%2B+log%282%29%2A%28x%2B4%29+=+5

log%282%29%2A%285%2Flog%284%29+-+6%29+%2B+log%282%29%2A%285%2Flog%284%29+%2B+6%29+=+5

10%2A%28log%282%29%2Flog%284%29%29+=+5
log%282%29%2Flog%284%29+=+1%2F2
log%282%29+=+%281%2F2%29%2Alog%284%29
log%282%29+=+log%284%5E%281%2F2%29%29
log%282%29+=+log%282%29
OK