SOLUTION: Please help me solve {{{log 12 ^ (2x) + log 12 ^ (x-1) = 1}}}. I have this so far: {{{log 12 (2x * x-1) = 1}}}. I will appreciate any help. Thank you in advance!

Algebra ->  Logarithm Solvers, Trainers and Word Problems -> SOLUTION: Please help me solve {{{log 12 ^ (2x) + log 12 ^ (x-1) = 1}}}. I have this so far: {{{log 12 (2x * x-1) = 1}}}. I will appreciate any help. Thank you in advance!       Log On


   



Question 169365: Please help me solve log+12+%5E+%282x%29+%2B+log+12+%5E+%28x-1%29+=+1.
I have this so far: log+12+%282x+%2A+x-1%29+=+1.
I will appreciate any help. Thank you in advance!


Answer by Alan3354(69443) About Me  (Show Source):
You can put this solution on YOUR website!
Please help me solve log+12+%5E+%282x%29+%2B+log+12+%5E+%28x-1%29+=+1.
I have this so far: log+12+%282x+%2A+x-1%29+=+1.
--------------------------
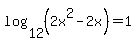
It's log%2812%2C%282x%5E2-2x%29%29+=+1 Multiply the 2x times the 1, also
1 is log%2812%2C12%29, so
log+12+%282x%5E2-2x%29+=+log%2812%2C12%29
Then,
2x%5E2+-+2x+=+12
x%5E2+-+x+-+6+=+0
(x-3)*(x+2) = 0
x = 3
x = -2