SOLUTION: I need help writing Log(base1/6)6X^2 as a natural log.
Algebra
->
Logarithm Solvers, Trainers and Word Problems
-> SOLUTION: I need help writing Log(base1/6)6X^2 as a natural log.
Log On
Algebra: Logarithm
Section
Solvers
Solvers
Lessons
Lessons
Answers archive
Answers
Click here to see ALL problems on logarithm
Question 153967
:
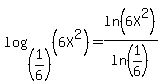
I need help writing Log(base1/6)6X^2 as a natural log.
Found 2 solutions by
roneisha123, Fombitz
:
Answer by
roneisha123(2)
(
Show Source
):
You can
put this solution on YOUR website!
you are retared
Answer by
Fombitz(32388)
(
Show Source
):
You can
put this solution on YOUR website!
Changing bases in logarithm is accomplished using the following formula,
In your case, a=1/6 and b=e.
Remember that
That's the exact answer, the following is an approximation,