Question 150163: Could I please get some help with the following problem:
Find the sum:
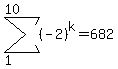
10
∑ 
k=1
Thank You,
Ray
Answer by Fombitz(32388) (Show Source):
You can put this solution on YOUR website! Set up a table of values for k and the argument, .
EXCEL is a great program to do this.
,
,
,
,
,
,
,
,
,
,
Sum the first ten terms,


|
|
|