SOLUTION: Will someone please help me write this as a single logarithm! 1/2 ln (x^2 +1) -4 ln (1/2) -1/2[ln(x-4)+ln x] Thank you so much, Natalie
Algebra
->
Logarithm Solvers, Trainers and Word Problems
-> SOLUTION: Will someone please help me write this as a single logarithm! 1/2 ln (x^2 +1) -4 ln (1/2) -1/2[ln(x-4)+ln x] Thank you so much, Natalie
Log On
Algebra: Logarithm
Section
Solvers
Solvers
Lessons
Lessons
Answers archive
Answers
Click here to see ALL problems on logarithm
Question 149971
:
Will someone please help me write this as a single logarithm!
1/2 ln (x^2 +1) -4 ln (1/2) -1/2[ln(x-4)+ln x]
Thank you so much, Natalie
Answer by
oscargut(2103)
(
Show Source
):
You can
put this solution on YOUR website!
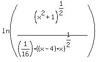
1/2 ln (x^2 +1) -4 ln (1/2) -1/2[ln(x-4)+ln x]=
=
=
=
=