SOLUTION: Express as a single logarithm with a coefficient of 1 3log(x)+2log(y)-3log(z)

Algebra ->  Logarithm Solvers, Trainers and Word Problems -> SOLUTION: Express as a single logarithm with a coefficient of 1 3log(x)+2log(y)-3log(z)      Log On


   



Question 134884: Express as a single logarithm with a coefficient of 1
3log(x)+2log(y)-3log(z)

Answer by solver91311(24713) About Me  (Show Source):
You can put this solution on YOUR website!
Rule 1: n%2Alog%28b%2Cx%29 = log%28b%2Cx%5En%29

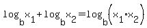
Rule 2: log%28b%2Cx%5B1%5D%29%2Blog%28b%2Cx%5B2%5D%29=log%28b%2C%28x%5B1%5Dx%5B2%5D%29%29

So: