SOLUTION: How do you solve the exponential equation -5e^-x+9=6
Algebra
->
Logarithm Solvers, Trainers and Word Problems
-> SOLUTION: How do you solve the exponential equation -5e^-x+9=6
Log On
Algebra: Logarithm
Section
Solvers
Solvers
Lessons
Lessons
Answers archive
Answers
Click here to see ALL problems on logarithm
Question 126824
:
How do you solve the exponential equation -5e^-x+9=6
Found 2 solutions by
Earlsdon, solver91311
:
Answer by
Earlsdon(6294)
(
Show Source
):
You can
put this solution on YOUR website!
Solve for x:
Subtract 9 from both sides.
Divide both sides by -5.
Invert both sides.
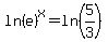
Now take the natural log of both sides.
But
, so...
Check:
Substitute x = 0.512
Answer by
solver91311(24713)
(
Show Source
):
You can
put this solution on YOUR website!
Now take the natural logarithm of both sides
Apply
and
so:
Finally, multiply by -1