SOLUTION: solve for x: log 2 (x-1) - log 2 (x+2) + log2 (x+3) = 2

Algebra ->  Logarithm Solvers, Trainers and Word Problems -> SOLUTION: solve for x: log 2 (x-1) - log 2 (x+2) + log2 (x+3) = 2       Log On


   



Question 1206450: solve for x:
log 2 (x-1) - log 2 (x+2) + log2 (x+3) = 2


Found 2 solutions by ikleyn, MathLover1:
Answer by ikleyn(52832) About Me  (Show Source):
You can put this solution on YOUR website!
.

The given equation is equivalent to

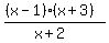
    %28%28x-1%29%2A%28x%2B3%29%29%2F%28x%2B2%29 = 2%5E2

plus the condition that each factor in parentheses is positive number.


From it, we get

    (x-1)*(x+3) = 4*(x+2)

     x^2 - x + 3x - 3 = 4x + 8

     x^2 - 2x - 11 = 0


Apply the quadratic formula and find the roots

    x%7B1%2C2%5D = %282+%2B-+sqrt%282%5E2+-+4%2A1%2A%28-11%29%29%29%2F2 = %282+%2B-+sqrt%2848%29%29%2F2 = %282+%2B-+4%2Asqrt%283%29%29%2F2 = 1+%2B-+2%2Asqrt%283%29.


One root is x = 1+%2B+2%2Asqrt%283%29 = 4.4641  (rounded).


Another root is  1-2%2Asqrt%283%29 = -2.4641  (rounded).


Only positive root is the solution to the original equation, since (x-1) is also positive.


The negative root is not the solution to the original equation, since then (x-1) is negative, too.

Solved, with explanations.



Answer by MathLover1(20850) About Me  (Show Source):
You can put this solution on YOUR website!
solve for +x+:

+log+%282%2C+%28x-1%29%29+-+log%28+2%2C+%28x%2B2%29+%29%2B+log%282%2C+%28x%2B3%29%29+=+2+

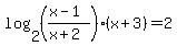
+log+%282%2C+%28x-1%29%2F+%28x%2B2%29+%29%2B+log%282%2C+%28x%2B3%29%29+=+2+



+log+%28%28%28x-1%29%2F+%28x%2B2%29+%29+%28x%2B3%29%29+%2Flog+%282%29=+2+

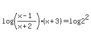
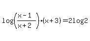
+log+%28%28%28x-1%29%2F+%28x%2B2%29+%29+%28x%2B3%29%29+=+2log+%282%29+

+log+%28%28%28x-1%29%2F+%28x%2B2%29+%29+%28x%2B3%29%29+=+log+%282%5E2%29+

+log+%28%28%28x-1%29%28x%2B3%29%29%2F+%28x%2B2%29++%29+=+log+%284%29+...if log same, then

+%28%28x-1%29%28x%2B3%29%29%2F+%28x%2B2%29+=4+

+%28x-1%29%28x%2B3%29++=4%28x%2B2%29+

+x%5E2+%2B+2x+-+3+=4x%2B8+

+x%5E2+%2B+2x+-+3+-4x-8=0+

+x%5E2++-2x-11=0+

+x%5E2++-2x-11=0+

using quadratic formula we get

+x+=+1+%2B+2sqrt%283%29+
+x+=+1+-+2sqrt%283%29+