SOLUTION: 7+ln(8x)=22−2lnx write without logarithms

Algebra ->  Logarithm Solvers, Trainers and Word Problems -> SOLUTION: 7+ln(8x)=22−2lnx write without logarithms       Log On


   



Question 1204935: 7+ln(8x)=22−2lnx write without logarithms

Found 2 solutions by MathLover1, ikleyn:
Answer by MathLover1(20850) About Me  (Show Source):
Answer by ikleyn(52908) About Me  (Show Source):
You can put this solution on YOUR website!
.

We start from this equation

    7+ln(8x)=22−2*ln(x) 


We simplify it

    ln(8x) + 2*ln(x) = 22 - 7

    ln(8x) + 2*ln(x) =   15


Using properties of logarithms, we simplify it further    

    (8x) * x^2 = e%5E15.

    8x^3 = e%5E15.


It is how I transform the given equation to get an equivalent equation "without logarithms".


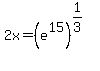
It can be simplified further by taking the cubic root from both sides, 
but these further transformations do just relate to Algebra, not to logarithms.

Since you do not ask to solve the original equation, I stop at this point.


By the way, the primarily translation form "without logarithms" is

    e%5E7%2A%288x%29 = e%5E22%2Fx%5E2.