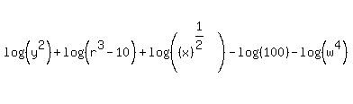
SOLUTION: Write as a sum or difference of multiples of logarithms. Evaluate logarithms where possible log(y^2(r^3-10)√x) / (100w^4)

Algebra ->  Logarithm Solvers, Trainers and Word Problems -> SOLUTION: Write as a sum or difference of multiples of logarithms. Evaluate logarithms where possible log(y^2(r^3-10)√x) / (100w^4)       Log On


   



Question 1192138: Write as a sum or difference of multiples of logarithms. Evaluate logarithms where possible
log(y^2(r^3-10)√x) / (100w^4)

Found 2 solutions by MathLover1, greenestamps:
Answer by MathLover1(20850) About Me  (Show Source):
You can put this solution on YOUR website!
assuming you have

log%28%28y%5E2%28r%5E3-10%29sqrt%28x%29%29+%2F+%28100w%5E4%29%29
log%28%28y%5E2%28r%5E3-10%29%2Ax%5E%281%2F2%29%29+%29-log+%28100w%5E4%29







Answer by greenestamps(13200) About Me  (Show Source):
You can put this solution on YOUR website!


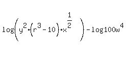
log%28%28y%5E2%28r%5E3-10%29sqrt%28x%29%2F100w%5E4%29%29

Write the radical in exponential form:

log%28%28y%5E2%28r%5E3-10%29%28x%29%5E%281%2F2%29%2F100w%5E4%29%29

Use your log of product and log of quotient rules to write as sums and differences of logs:



Use your rule for log of something to a power



Since the problem says to evaluate logs where possible, and since the base of the logarithm is 10, simplify "log(100)":