SOLUTION: Express in terms of sums and differences of logarithms. log root a^5b.

Algebra ->  Logarithm Solvers, Trainers and Word Problems -> SOLUTION: Express in terms of sums and differences of logarithms. log root a^5b.      Log On


   



Question 1177567: Express in terms of sums and differences of logarithms. log root a^5b.
Answer by MathLover1(20850) About Me  (Show Source):
You can put this solution on YOUR website!
assuming you have
log%28%28sqrt%28a%5E5%2Ab%29%29%29

log%28%28%28a%5E5%2Ab%29%5E%281%2F2%29%29%29

log%28%28%28a%5E5%29%5E%281%2F2%29%2Ab%5E%281%2F2%29%29%29

log%28%28a%5E%285%2F2%29%2Ab%5E%281%2F2%29%29%29

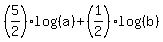
log%28%28a%5E%285%2F2%29%29%29%2Blog%28%28b%5E%281%2F2%29%29%29

%285%2F2%29log%28%28a%29%29%2B%281%2F2%29log%28%28b%29%29