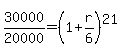
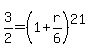
SOLUTION: Ricky Wow invested $20000 and the interest was compounded bi-monthly. If this sum amounts to $30000 after 3.5 years, what is the interest rate?

Algebra ->  Logarithm Solvers, Trainers and Word Problems -> SOLUTION: Ricky Wow invested $20000 and the interest was compounded bi-monthly. If this sum amounts to $30000 after 3.5 years, what is the interest rate?      Log On


   



Question 1176485: Ricky Wow invested $20000 and the interest was compounded bi-monthly. If this sum amounts to $30000 after 3.5 years, what is the interest rate?
Answer by MathLover1(20850) About Me  (Show Source):