| 
 
 
| Question 1170371:  if tanθ=3/4 and θ is in quadrant IV,cos2θ= ? and tan2θ= ?
 
 options for first ?
 a. 33/25
 b. -17/25
 c. 32/25
 d. 7/25
 e. 24/25
 options for second ?
 a. 24/7
 b.-24/7
 c. 7/25
 d.-7/25
 e. 13/7
 f.-13/7
 
 Found 3 solutions by  MathLover1, Theo, ikleyn:
 Answer by MathLover1(20850)
      (Show Source): Answer by Theo(13342)
      (Show Source): 
You can put this solution on YOUR website! tan(x) = 3/4 x = arctan(3/4) = 36.86989765 degrees in the first quadrant.
 the equivalent angle in the fourth quadrant is 360 - that = 323.1301024.
 tan(323.1301024) = -3/4.
 that's because tangent function is positive in the first and third quadrants and negative in the second and fourth quadrants.
 
 cos(2x) = cos(2*324.1301024) = .28
 .28 * 25 = 7/25
 that, i believe, is selection d.
 
 tan(2x) = tan(2*324.1301024) = -3.428571429
 that * 7 = -24/7
 that, i believe, is selection f.
 
 2*324.1301024 = 646.260202047.
 
 equivalent angle between 0 and 360 degrees is 646.260202047 - 360 = 286.2602047 degrees.
 
 cos(that) = .28
 tan(that) = -3.428571429
 
 if you use the trig identities, you should get the same answer.
 
 i used them and i got the same answer.
 
 the formulas are:
 
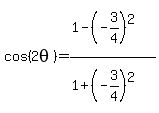
 cos(2x) = cos^2(x) - sin^2(x)
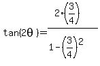
 tan(2x) = 2tan(x)/(1-tan^2(x))
 
 since you said 4th quadrant, i assumed 4th quqadrant, even though you said tan(x) = 3/4 and it is actually equal to -3/4 in the fourth quadrant.
 
 if the answers i gave you are not correct, please review the problem statement and send me a corrected.
 
 tan is only positive in the first and third quadrant.
 it is negative in the second and fourth quadrant.
 
 
 
 
Answer by ikleyn(52878)
      (Show Source): 
 | 
  
 | 
 |