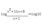
----- Converting to EXPONENTIAL form ------- Cross-multiplying (x - 1)(x + 2) = 0 OR x = - 2 (ignore) Anyone who tells you otherwise is WRONG and they serve no purpose than to confuse you!