SOLUTION: Hello Tutors...thank you for all your help on this site.Here's my question:2+log rad 1+x plus 3log rad 1-x =rad 1-x^2 this is what i did so far.2 +log rad 1+x plus 3log rad 1_x =l

Algebra ->  Logarithm Solvers, Trainers and Word Problems -> SOLUTION: Hello Tutors...thank you for all your help on this site.Here's my question:2+log rad 1+x plus 3log rad 1-x =rad 1-x^2 this is what i did so far.2 +log rad 1+x plus 3log rad 1_x =l      Log On


   



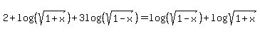
Question 1155245: Hello Tutors...thank you for all your help on this site.Here's my question:2+log rad 1+x plus 3log rad 1-x =rad 1-x^2 this is what i did so far.2 +log rad 1+x plus 3log rad 1_x =log rad 1-x + log rad 1+x.
..this is as far as i got. i hope for some step by step on how to do this logarithm. thanks to all for the help.

Answer by greenestamps(13200) About Me  (Show Source):
You can put this solution on YOUR website!


You're practically there...!



You saw the sqrt(1+x) and sqrt(1-x) on the left so you worked on the right:



Cancel the like terms on the two sides and work with what is left. It will be an easy equation to solve if you have a basic understanding of logarithms.