SOLUTION: Log8x+log4(1/6)=1/3

Algebra ->  Logarithm Solvers, Trainers and Word Problems -> SOLUTION: Log8x+log4(1/6)=1/3      Log On


   



Question 1151062: Log8x+log4(1/6)=1/3
Found 3 solutions by Alan3354, MathLover1, greenestamps:
Answer by Alan3354(69443) About Me  (Show Source):
You can put this solution on YOUR website!
Log8x+log4(1/6)=1/3
=============
Log(8x) + log(4(1/6)) = 1/3
log%288x%29+%2B+log%282%2F3%29+=+1%2F3+=+log%28root%283%2C10%29%29
log%2816x%2F3%29+=+log%28root%283%2C10%29%29
16x%2F3+=+root%283%2C10%29
16x+=+3root%283%2C10%29
x+=+3root%283%2C10%29%2F16

Answer by MathLover1(20850) About Me  (Show Source):
You can put this solution on YOUR website!

log%288%2Cx%29%2Blog%284%2C1%2F6%29=1%2F3

log%28x%29%2Flog%288%29%2Blog%281%2F6%29%2Flog%284%29=1%2F3

log%28x%29%2Flog%282%5E3%29%2Blog%281%2F6%29%2Flog%282%5E2%29=1%2F3

log%28x%29%2F3log%282%29%2Blog%281%2F6%29%2F2log%282%29=1%2F3........common denominator 6log%282%29

2log%28x%29%2F6log%282%29%2B3log%281%2F6%29%2F6log%282%29=1%2F3

2log%28x%29%2B3log%281%2F6%29=6log%282%29%2F3

2log%28x%29%2B3log%281%2F6%29=2log%282%29

log%28x%5E2%29%2Blog%28%281%2F6%29%5E3%29=log%284%29

log%28x%5E2%29=log%284%29-log%28%281%2F6%29%5E3%29

log%28x%5E2%29=log%28%284%2F%281%2F6%29%5E3%29%29

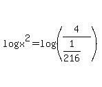
log%28x%5E2%29=log%28%284%2F%281%2F216%29%29%29

x%5E2=4%2F%281%2F216%29

x%5E2=4%2A216

x%5E2=144%2A6

x%5E2=864

x+=+12sqrt%286%29

Answer by greenestamps(13203) About Me  (Show Source):
You can put this solution on YOUR website!


log%288%2Cx%29%2Blog%284%2C%281%2F6%29%29+=+1%2F3

Convert the log base 8 and the log base 4 to logs base 2:

%281%2F3%29log%282%2Cx%29%2B%281%2F2%29log%282%2C%281%2F6%29%29=+1%2F3

Convert the expression on the left to a single log base 2 using rules of logarithms:

log%282%2C%28%28x%5E%281%2F3%29%2A%281%2F6%29%5E%281%2F2%29%29%29%29+=+1%2F3

Convert the logarithmic equation to exponential form:

x%5E%281%2F3%29%2A%281%2Fsqrt%286%29%29+=+2%5E%281%2F3%29

Isolate the term with the variable:

x%5E%281%2F3%29+=+2%5E%281%2F3%29%2Asqrt%286%29

Cube both sides of the equation:

x+=+2%2A%286%2Asqrt%286%29%29
x+=+12%2Asqrt%286%29