SOLUTION: 49^x-1=7√7

Algebra ->  Logarithm Solvers, Trainers and Word Problems -> SOLUTION: 49^x-1=7√7      Log On


   



Question 1149883: 49^x-1=7√7
Answer by greenestamps(13203) About Me  (Show Source):
You can put this solution on YOUR website!


Use parentheses where required!

What you wrote; surely not what you intended: "49^x-1 = 7*sqrt(7)" --> 49%5Ex-1+=+7%2Asqrt%287%29

What you undoubtedly meant: "49^(x-1) = 7*sqrt(7)" --> 49%5E%28x-1%29+=+7%2Asqrt%287%29

In the correct form, the equation is easily solved by expressing both sides of the equation as powers of 7:

49%5E%28x-1%29+=+7%2Asqrt%287%29
%287%5E2%29%5E%28x-1%29+=+7%2A7%5E%281%2F2%29
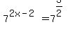
7%5E%282x-2%29+=+7%5E%283%2F2%29

The bases are the same; if the expressions are equal, then the exponents are equal.

2x-2+=+3%2F2
2x+=+2%2B3%2F2+=+7%2F2
x+=+7%2F4