Question 1138851: For each pair of functions, find fog and gof, if they exist
f={(-1,2),(5,6)(0,9)}
g={(6,0),(2,-1),(9,5)}
Answer by MathLover1(20850) (Show Source):
You can put this solution on YOUR website! solve a system of three equations derived from the original three coordinate pairs
f={(-1,2),(5,6)(0,9)}
( , )

..........eq.1
( , )

..........eq.2
( , )

go to ..........eq.1, substitute
..........solve for
..........eq.2 , substitute and
.......solve for



go to ......eq.1a, substitute


=>
g={(6,0),(2,-1),(9,5)}
( , )

..........eq.1
( , )

..........eq.2
( , )

..........eq.3
go to
..........eq.1
..........eq.2
------------------------------------------subtract

.........solve for
............eq.1a
go to
..........eq.3
..........eq.1
------------------------------------------subtract

.......solve for 
..............eq.2a
from eq.1a and eq.2awe have
........solve for

go to ............eq.1a, substitute 

go to ..........eq.2, substitute and

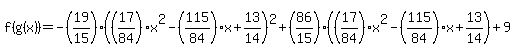
so, your functions are:

find o =
and o =
|
|
|