SOLUTION: Find the exact value of e^LOGe^2 16 The answer is 4, but I am unsure as to why. If possible, please show multiple methods (with step by step breakdown). Here is what I've gat

Algebra ->  Logarithm Solvers, Trainers and Word Problems -> SOLUTION: Find the exact value of e^LOGe^2 16 The answer is 4, but I am unsure as to why. If possible, please show multiple methods (with step by step breakdown). Here is what I've gat      Log On


   



Question 1129970: Find the exact value of e^LOGe^2 16
The answer is 4, but I am unsure as to why.
If possible, please show multiple methods (with step by step breakdown). Here is what I've gathered so far:
Method 1:
1. e^LOGe^2 2^4
2. e^(4/2)LOGe 2 ( I don't understand where the 4 divided by 2 comes into play, and which property dictates it )
3. e^2LOGe 2
4. e^LOGe 4 (Where did the 4 come from? Did both of the 2's get multiplied?)
5. =4
Method 2:
1. e^LOGe^2 16
2. e^(1/2)LN 16 (Where did the 1/2 come from?)
3. sqrt(e^LN 16) (Why is the entire expression inside the square root?)
4. sqrt(16) (Why did the "e^LN" portion inside the square root disappear?)
5. =4
Is it also possible to solve this problem by using the base change method?
Thanks in advance.

Found 2 solutions by addingup, MathTherapy:
Answer by addingup(3677) About Me  (Show Source):
You can put this solution on YOUR website!
not sure how you expect to get 4 as an answer from the equation the way you have it written. I think this is what you are saying:
(e^LOG(e^2))*16 If this is the case, then solving from the inside out:
(e^0.8686)*16
2.3836*16 = 38.1376

Answer by MathTherapy(10837) About Me  (Show Source):
You can put this solution on YOUR website!
Find the exact value of e^LOGe^2 16

The answer is 4, but I am unsure as to why.

If possible, please show multiple methods (with step by step breakdown). Here is what I've gathered so far:

Method 1:
1. e^LOGe^2 2^4
2. e^(4/2)LOGe 2 ( I don't understand where the 4 divided by 2 comes into play, and which property dictates it )
3. e^2LOGe 2
4. e^LOGe 4 (Where did the 4 come from? Did both of the 2's get multiplied?)
5. =4

Method 2:
1. e^LOGe^2 16
2. e^(1/2)LN 16 (Where did the 1/2 come from?)
3. sqrt(e^LN 16) (Why is the entire expression inside the square root?)
4. sqrt(16) (Why did the "e^LN" portion inside the square root disappear?)
5. =4

Is it also possible to solve this problem by using the base change method?

Thanks in advance.
==================
Find the exact value of e^LOGe^2 16 ===> e%5E%28%28log+%28e%5E2%2C+%2816%29%29%29%29
             Let t+=+log+%28e%5E2%2C+%2816%29%29
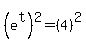
             %28e%5E2%29%5Et+=+16 ---- Converting to EXPONENTIAL form
             %28e%5Et%29%5E2+=+%284%29%5E2
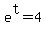
                e%5Et+=+4 ----- Exponents are equal. and so are the bases
                 t+=+log+%28e%2C+%284%29%29
        highlight%28log+%28e%5E2%2C+%2816%29%29%29+=+highlight%28log+%28e%2C+%284%29%29%29 ---- Back-substituting log+%28e%5E2%2C+%2816%29%29 for t

APPLYING , matrix%282%2C1%2C+%22+%22%2C+e%5E%28%28log+%28e%5E2%2C+%2816%29%29%29%29%29 now becomes: , which is SIMPLY 4
OR
Find the exact value of e^LOGe^2 16 ===> matrix%282%2C1%2C+%22+%22%2C+e%5E%28%28log+%28e%5E2%2C+%2816%29%29%29%29%29
First of all, let's EXTRACT the exponent, log+%28e%5E2%2C+%2816%29%29 from the expression.


APPLYING , matrix%282%2C1%2C+%22+%22%2C+e%5E%28%28log+%28e%5E2%2C+%2816%29%29%29%29%29 now becomes: , which is SIMPLY 4.