SOLUTION: If x^2+y^2=7xy.prove that log(x+y/3)=1/2(logx+logy). Please help me

Algebra ->  Logarithm Solvers, Trainers and Word Problems -> SOLUTION: If x^2+y^2=7xy.prove that log(x+y/3)=1/2(logx+logy). Please help me       Log On


   



Question 1129637: If x^2+y^2=7xy.prove that log(x+y/3)=1/2(logx+logy). Please help me

Answer by MathLover1(20850) About Me  (Show Source):
You can put this solution on YOUR website!
If x%5E2%2By%5E2=7xy, prove that log%28x%2By%2F3%29=%281%2F2%29%28log%28x%29%2Blog%28y%29%29

x%5E2%2B+y%5E2+=+7xy .......... add 2xy both sides
+x%5E2+%2B+y%5E2+%2B+2xy+=+9xy+
%28x+%2B+y%29%5E2+%2F+3%5E2+=+xy+
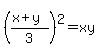
%28%28x+%2B+y%29+%2F+3%29%5E2+=+xy+

take log both sides
+log%28%28%28x+%2B+y%29+%2F+3%29%5E2%29+=log%28+xy+%29
2+log+%28%28x+%2B+y%29+%2F+3%29+=+log+%28xy%29+
2+log+%28%28x+%2B+y%29+%2F+3%29=+log+%28x%29+%2B+log%28+y+%29
log+%28%28x+%2B+y%29+%2F+3%29+=+%28log+x+%2B+log+y%29+%2F+2
log+%28%28x+%2B+y%29+%2F+3%29+=+%281%2F2%29%28log+x+%2B+log+y%29+.....(Proved!)


or this way


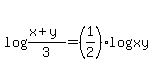
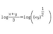
log%28%28x+%2B+y%29%2F3%29+=+%281%2F2%29%2Alog%28xy%29+
log%28%28x+%2B+y%29%2F3%29+=+log%28%28%28xy%29%5E%281%2F2%29%29%29+
%28x+%2B+y%29%2F3+=+%28xy%29%5E%281%2F2%29+
%28x+%2B+y%29%2F3+=+sqrt%28xy%29+
%28%281%2F3%29%28x+%2B+y%29%29%5E2+=+%28sqrt%28xy%29+%29%5E2
%281%2F9%29+%2A+%28x+%2B+y%29%5E2+=+xy+
x%5E2+%2B+2xy+%2B+y%5E2+=+9xy+
x%5E2+%2B+y%5E2+=+7xy+.....(Proved!)