SOLUTION: log(2+x)-log(x-2)=log5

Algebra ->  Logarithm Solvers, Trainers and Word Problems -> SOLUTION: log(2+x)-log(x-2)=log5      Log On


   



Question 1128269: log(2+x)-log(x-2)=log5
Found 2 solutions by josgarithmetic, ikleyn:
Answer by josgarithmetic(39621) About Me  (Show Source):
You can put this solution on YOUR website!
What is the base? 2, 10, 5, what? Something else?

OKay need not be given the base.
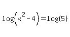
log%28%282%2Bx%29%29%2Blog%28%28x-2%29%29=log%28%285%29%29--------note: this very first line is a mistake,

therefore all of this is still wrong:
--------------------------------------------------------------------------
log%28%28x%5E2-4%29%29=log%28%285%29%29
arguments must be equal.
x%5E2-4=5
x%5E2=9
x=3
--------------------------------------------------------------------------



The original equation shows MINUS of a log; not the PLUS of a log.
First two steps should have been:
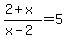
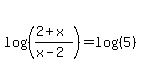
log%28%28%282%2Bx%29%2F%28x-2%29%29%29=log%28%285%29%29

%282%2Bx%29%2F%28x-2%29=5
.
.

Answer by ikleyn(52818) About Me  (Show Source):
You can put this solution on YOUR website!
.
log(2+x)-log(x-2)=log5
~~~~~~~~~~~~~~~~~~~~~~~~~~~


            The solution by @josgarithmetic is INCORRECT.

            Below find the correct solution.


log(2+x) - log(x-2) = log(5)  ====>


%282%2Bx%29%2F%28x-2%29 = 5  ====>


2 + x = 5*(x - 2)


2 + x = 5x - 10


2 + 10 = 5x - x


12 = 4x


x = 12%2F4 = 3.     ANSWER


Again, although @josgaritmetic eventually got the correct answer, his solution is WRONG.