SOLUTION: given that log8^(p+2) +log8^q=r-1/3and log2^(p-2)-log2^q=2r+1 then show that pē=4+32^r

Algebra ->  Logarithm Solvers, Trainers and Word Problems -> SOLUTION: given that log8^(p+2) +log8^q=r-1/3and log2^(p-2)-log2^q=2r+1 then show that pē=4+32^r      Log On


   



Question 1122163: given that log8^(p+2) +log8^q=r-1/3and log2^(p-2)-log2^q=2r+1 then show that pē=4+32^r
Answer by greenestamps(13203) About Me  (Show Source):
You can put this solution on YOUR website!


The "^" symbol is used to represent exponents -- not to indicate the base of a logarithm. Your question is

Given that log%288%2C%28p%2B2%29%29%2Blog%288%2C%28q%29%29=r-1%2F3 and log%282%2C%28p-2%29%29-log%282%2C%28q%29%29=2r%2B1 then show that p%5E2+=+4%2B32%5Er

It looks ugly (especially the way you showed it!), but everything falls in place nicely using basic rules of logarithms. Specifically, we need to use

log(a)+log(b) = log(ab)
log(a)-log(b) = log(a/b)
log base 2 of x = 3*log base 8 of x, since 8 = 2^3

(1) log%288%2C%28p%2B2%29%29%2Blog%288%2C%28q%29%29=r-1%2F3 Given

(2) log%282%2C%28p-2%29%29-log%282%2C%28q%29%29=2r%2B1 Given

(3) log%288%2C%28q%28p%2B2%29%29%29=r-1%2F3 from (1)

(4) log%282%2C%28q%28p%2B2%29%29%29+=+3r-1 from (3)

(5) log%282%2C%28%28p-2%29%2Fq%29%29+=+2r%2B1 from (2)

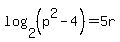
(6) log%282%2C%28p%5E2-4%29%29+=+5r from (4) and (5)

(7) p%5E2-4+=+2%5E%285r%29+=+32%5Er (definition of log base 2)
(8) p%5E2+=+4%2B32%5Er