SOLUTION: Solve the equation analytically and show all your work, (NO Calculator0 log16^x + log4^x + log2^x = 7 (that is log base 16 to the power of x, etc.) Thanks

Algebra ->  Logarithm Solvers, Trainers and Word Problems -> SOLUTION: Solve the equation analytically and show all your work, (NO Calculator0 log16^x + log4^x + log2^x = 7 (that is log base 16 to the power of x, etc.) Thanks       Log On


   



Question 111726: Solve the equation analytically and show all your work, (NO Calculator0
log16^x + log4^x + log2^x = 7
(that is log base 16 to the power of x, etc.)
Thanks

Answer by jim_thompson5910(35256) About Me  (Show Source):
You can put this solution on YOUR website!
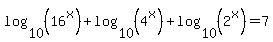
log%2810%2C%2816%5Ex%29%29+%2B+log%2810%2C%284%5Ex%29%29+%2B+log%2810%2C%282%5Ex%29%29+=+7 Start with the given expression



Rewrite 16 as 2%5E4 and 4 as 2%5E2

Distribute and multiply the exponents

log%2810%2C%282%5E%284x%29%29%282%5E%282x%29%29%282%5Ex%29%29+=+7 Combine the logs using the identity log%28b%2C%28x%29%29%2Blog%28b%2C%28y%29%29=log%28b%2C%28x%2Ay%29%29




log%2810%2C%282%5E%284x%2B2x%2Bx%29%29%29+=+7 Combine the expression using %28b%5Ex%29%28b%5Ey%29=b%5E%28x%2By%29


log%2810%2C%282%5E%287x%29%29%29+=+7 Add the exponents


7x%2Alog%2810%2C%282%29%29+=+7 Rewrite the left side using the identity log%28b%2C%28x%5Ey%29%29=y%2Alog%28b%2C%28x%29%29


x=+7%2F%287%2Alog%2810%2C%282%29%29%29 Divide both sides by 7%2Alog%2810%2C%282%29%29


x=+1%2F%28log%2810%2C%282%29%29%29 Reduce