SOLUTION: Determine all real values of {{{x}}} for which {{{3^(x-1)*9^(3/2x^2) = 27}}} (note: cutout should read 9^(3/2x^2))

Algebra ->  Logarithm Solvers, Trainers and Word Problems -> SOLUTION: Determine all real values of {{{x}}} for which {{{3^(x-1)*9^(3/2x^2) = 27}}} (note: cutout should read 9^(3/2x^2))      Log On


   



Question 1114455: Determine all real values of x for which 3%5E%28x-1%29%2A9%5E%283%2F2x%5E2%29+=+27
(note: cutout should read 9^(3/2x^2))

Answer by josgarithmetic(39628) About Me  (Show Source):
You can put this solution on YOUR website!
In case these steps do not show well, see the pure text using the Show Source hyperlink:

3%5E%28x-1%29%2A%283%5E2%29%5E%283%2F%282x%5E2%29%29=3%5E3

3%5E%28x-1%29%2A3%5E%282%2A%283%2F%282x%5E2%29%29%29=3%5E3

3%5E%28x-1%29%2A3%5E%283%2F%28x%5E2%29%29=3%5E3

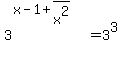
3%5E%28x-1%2B3%2Fx%5E2%29=3%5E3
Same base of 3 on both sides.

x-1%2B3%2Fx%5E2=3
You can continue from here.
.
.
.