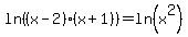
SOLUTION: Solve ln(x-2)+ ln(x+1)= 2lnx
Algebra
->
Logarithm Solvers, Trainers and Word Problems
-> SOLUTION: Solve ln(x-2)+ ln(x+1)= 2lnx
Log On
Algebra: Logarithm
Section
Solvers
Solvers
Lessons
Lessons
Answers archive
Answers
Click here to see ALL problems on logarithm
Question 111062
:
Solve ln(x-2)+ ln(x+1)= 2lnx
Answer by
HyperBrain(694)
(
Show Source
):
You can
put this solution on YOUR website!
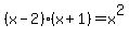
Delogarizing,
Power up,
HyperBrain!