SOLUTION: Write the following as a single logarithm. Simplify your answer. {{{ -log(3,(m+1))+2log(3,(m))+log(3,(m^2 -1))-log(3,(m^2+m)) }}} -First time seeing this type of problem. Ho

Algebra ->  Logarithm Solvers, Trainers and Word Problems -> SOLUTION: Write the following as a single logarithm. Simplify your answer. {{{ -log(3,(m+1))+2log(3,(m))+log(3,(m^2 -1))-log(3,(m^2+m)) }}} -First time seeing this type of problem. Ho      Log On


   



Question 1096233: Write the following as a single logarithm. Simplify your answer.

-First time seeing this type of problem. How would I solve this? Any sort of help is appreciated! :)

Answer by Alan3354(69443) About Me  (Show Source):
You can put this solution on YOUR website!
It's not solving, just simplification.
---------------
Write the following as a single logarithm. Simplify your answer.

= Write the following as a single logarithm. Simplify your answer.
=
=
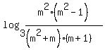
= +log%283%2Cm%5E2%2A%28m%5E2+-1%29%2F%28%28m%5E2%2Bm%29%2A%28m%2B1%29%29%29+
= +log%283%2Cm%2A%28m+-1%29%2A%28m%2B1%29%2F%28m%2A%28m%2B1%29%2A%28m%2B1%29%29%29+
= +log%283%2C%28m-1%29%2F%28m%2B1%29%29+