SOLUTION: You invest $ 27,000 for a period of 14 years and rely on an investment value of $ 100,000. With which monthly compound annual compound interest rate (12 times per year). You may ge
Algebra ->
Logarithm Solvers, Trainers and Word Problems
-> SOLUTION: You invest $ 27,000 for a period of 14 years and rely on an investment value of $ 100,000. With which monthly compound annual compound interest rate (12 times per year). You may ge
Log On
Question 1091449: You invest $ 27,000 for a period of 14 years and rely on an investment value of $ 100,000. With which monthly compound annual compound interest rate (12 times per year). You may get this amount at the end of the placement. Answer by ankor@dixie-net.com(22740) (Show Source):
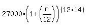
You can put this solution on YOUR website! You invest $ 27,000 for a period of 14 years and rely on an investment value of $ 100,000.
With which monthly compound annual compound interest rate (12 times per year). You may get this amount at the end of the placement.
:
Using the formula where:
A = final amt
Ao = Initial amt
r = interest rate in decimal form
n = number of times interest is compound per year
t = time in years
in this problem we know:
A = 100000
Ao = 27000
r is unknown
n = 12
t = 14 yrs
:
using natural logs, use the log equiv of the exponent
find the ln
divide both sides by 168
Find the anti-ln of both sides
1 + = 1.0078241
subtract 1 from both sides = .0078241
multiply both sides by 12
r = .0934 or 9.34% interest rate required
:
A lot of math here; you better check my work. CK