SOLUTION: Use the logarithmic properties to rewrite the expression as a sum difference, and/or constant multiple of logarithms. a. ln x^4 square root
Algebra
->
Logarithm Solvers, Trainers and Word Problems
-> SOLUTION: Use the logarithmic properties to rewrite the expression as a sum difference, and/or constant multiple of logarithms. a. ln x^4 square root
Log On
Algebra: Logarithm
Section
Solvers
Solvers
Lessons
Lessons
Answers archive
Answers
Click here to see ALL problems on logarithm
Question 1088279
:
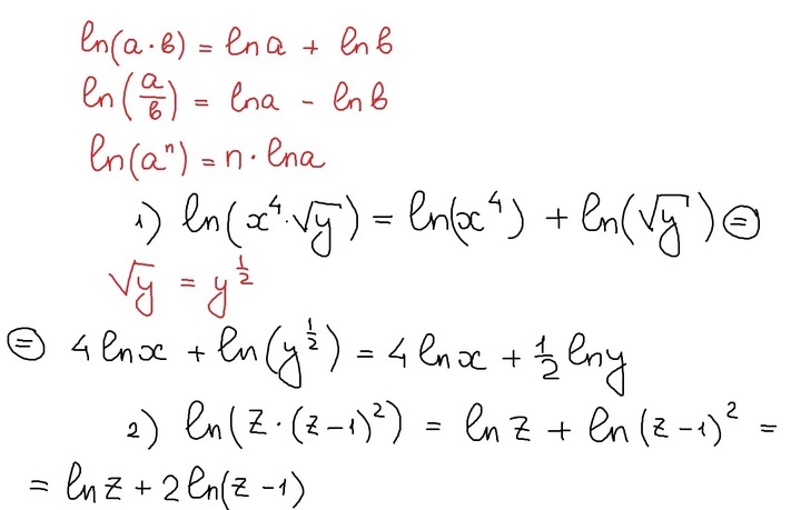
Use the logarithmic properties to rewrite the expression as a sum difference, and/or constant multiple of logarithms.
a. ln x^4 square root of y
b. lnz(z-1)^2 , z>1
Answer by
Tatiana_Stebko(1539)
(
Show Source
):
You can
put this solution on YOUR website!