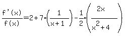
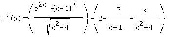
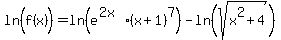
SOLUTION: Use the logarithmic differentiation to find f'(×) if f(x) = e^2x(x+1)^7 / sqrt x^2+4
Algebra
->
Logarithm Solvers, Trainers and Word Problems
-> SOLUTION: Use the logarithmic differentiation to find f'(×) if f(x) = e^2x(x+1)^7 / sqrt x^2+4
Log On
Algebra: Logarithm
Section
Solvers
Solvers
Lessons
Lessons
Answers archive
Answers
Click here to see ALL problems on logarithm
Question 1082220
:
Use the logarithmic differentiation to find f'(×) if
f(x) = e^2x(x+1)^7 / sqrt x^2+4
Answer by
Edwin McCravy(20059)
(
Show Source
):
You can
put this solution on YOUR website!
Edwin