SOLUTION: I am having trouble with log functions. log1/4 (log2 x)=1/2. Your help is greatly appreciated.

Algebra ->  Logarithm Solvers, Trainers and Word Problems -> SOLUTION: I am having trouble with log functions. log1/4 (log2 x)=1/2. Your help is greatly appreciated.       Log On


   



Question 1080380: I am having trouble with log functions. log1/4 (log2 x)=1/2. Your help is greatly appreciated.

Answer by MathTherapy(10810) About Me  (Show Source):
You can put this solution on YOUR website!
I am having trouble with log functions. log1/4 (log2 x)=1/2. Your help is greatly appreciated.
If this is: log+%28%281%2F4%29%2C+%28log+%282%2C+%28x%29%29%29%29+=+1%2F2, then read on.
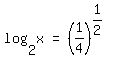
matrix%281%2C3%2C+log+%282%2C+x%29%2C+%22=%22%2C+%281%2F4%29%5E%281%2F2%29%29 ------- Converting to EXPONENTIAL form
log+%282%2C+x%29+=+1%2F2 ------- Evaluating matrix%281%2C3%2C+%281%2F4%29%5E%281%2F2%29%2C+or%2C+sqrt%281%2F4%29%29
Converting to EXPONENTIAL form, we get: