SOLUTION: Solving for x: logbase2(x+6)-logbase2(x-2)=3

Algebra ->  Logarithm Solvers, Trainers and Word Problems -> SOLUTION: Solving for x: logbase2(x+6)-logbase2(x-2)=3      Log On


   



Question 1073513: Solving for x: logbase2(x+6)-logbase2(x-2)=3
Found 2 solutions by josgarithmetic, ikleyn:
Answer by josgarithmetic(39618) About Me  (Show Source):
You can put this solution on YOUR website!
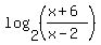
log%282%2C%28x%2B6%29%29-log%282%2C%28x-2%29%29=3

log%282%2C%28%28x%2B6%29%2F%28x-2%29%29%29=3

use exponential form.
.
and
.
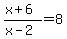
%28x%2B6%29%2F%28x-2%29=8
You should finish this.

Answer by ikleyn(52794) About Me  (Show Source):
You can put this solution on YOUR website!
.
log%282%2C%28x%2B6%29%29-log%282%2C%28x-2%29%29=3  --->


log%282%2C%28%28x%2B6%29%2F%28x-2%29%29%29 = 3  --->


%28x%2B6%29%2F%28x-2%29 = 8  --->


x + 6 = 8*(x-2)  --->  x + 6 = 8x - 16  --->  7x = 22  --->  x = 22%2F7.