SOLUTION: Without calculator or log book;write in single log term log 2x3-log4x2+2log2x logx2+3log2x-log2x3

Algebra ->  Logarithm Solvers, Trainers and Word Problems -> SOLUTION: Without calculator or log book;write in single log term log 2x3-log4x2+2log2x logx2+3log2x-log2x3      Log On


   



Question 1056331: Without calculator or log book;write in single log term
log 2x3-log4x2+2log2x
logx2+3log2x-log2x3

Answer by Edwin McCravy(20065) About Me  (Show Source):
You can put this solution on YOUR website!

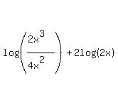
log%28%282x%5E3%29%29-log%28%284x%5E2%29%29%2B2log%28%282x%29%29

Use this rule on the first two terms: "The difference of 
two logs is the log of a quotient":

log%28%28%282x%5E3%29%2F%284x%5E2%29%29%29%2B2log%28%282x%29%29

Simplify 2x%5E3%2F%284x%5E2%29 to x%2F2

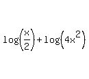
log%28%28x%2F2%29%29%2B2log%28%282x%29%29

Use this rule on the second term: "The coefficient
of a log becomes an exponent of what the log is of"

log%28%28x%2F2%29%29%2Blog%28%28%282x%29%5E2%29%29

Write %282x%29%5E2 as 2%5E2x%5E2 and as 4x%5E2

log%28%28x%2F2%29%5E%22%22%29%2Blog%28%284x%5E2%29%29

Use this rule: "The sum of two logs is the log of a 
product":

log%28%28%28x%2F2%29%5E%22%22%284x%5E2%29%29%29

Simplify:

log%28%282x%5E3%29%29

See if you can do the other one by yourself using the
same rules.  If you have trouble, ask me to help you
in the email form below and I'll get back to you by
email. (No charge ever.  I do this for fun!)

Edwin