SOLUTION: Please tell me how I need to approach this,I'm so stuck!! Solve the following system of equations: log(x+1)^y=2 log(y+1)^x=1/4 Thank you!!

Algebra ->  Logarithm Solvers, Trainers and Word Problems -> SOLUTION: Please tell me how I need to approach this,I'm so stuck!! Solve the following system of equations: log(x+1)^y=2 log(y+1)^x=1/4 Thank you!!      Log On


   



Question 1051646: Please tell me how I need to approach this,I'm so stuck!!
Solve the following system of equations:

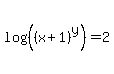
log(x+1)^y=2
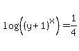
log(y+1)^x=1/4
Thank you!!

Answer by Fombitz(32388) About Me  (Show Source):
You can put this solution on YOUR website!
Use the log properties,
log%28%28%28x%2B1%29%5Ey%29%29=2
y%2Alog%28%28x%2B1%29%29=2
y=2%2Flog%28%28x%2B1%29%29
.
.
.
log%28%28%28y%2B1%29%5Ex%29%29=1%2F4
x%2Alog%28%28y%2B1%29%29=1%2F4
log%28%28y%2B1%29%29=1%2F%284x%29
y%2B1=e%5E%281%2F%284x%29%29
y=e%5E%281%2F%284x%29%29-1