SOLUTION: Use the logarithmic definition to find the derivative: Y=(x+1)^x . Sqrt(x^2 + 4)

Algebra ->  Logarithm Solvers, Trainers and Word Problems -> SOLUTION: Use the logarithmic definition to find the derivative: Y=(x+1)^x . Sqrt(x^2 + 4)      Log On


   



Question 1044507: Use the logarithmic definition to find the derivative:
Y=(x+1)^x . Sqrt(x^2 + 4)

Answer by Edwin McCravy(20056) About Me  (Show Source):
You can put this solution on YOUR website!
y%22%22=%22%22%28x%2B1%29%5Ex

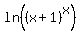
ln%28y%29%22%22=%22%22ln%28+%28x%2B1%29%5Ex+%29 

ln%28y%29%22%22=%22%22x%2Aln%28x%2B1%29

Use the formulas for the derivative of ln(u),
are the formulas the derivative of uv and ln(u)
on the right:

%22y%27%22%2Fy%22%22=%22%22x%2A%281%2F%28x%2B1%29%29%2Bln%28x%2B1%29%2A1 

%22y%27%22%2Fy%22%22=%22%22x%2F%28x%2B1%29%2Bln%28x%2B1%29

Multiply both sides by y

%22y%27%22%22%22=%22%22y%28x%2F%28x%2B1%29%2Bln%28x%2B1%29%29

Substitute for y on the right using the ORIGINAL equation

%22y%27%22%22%22=%22%22%28x%2B1%29%5Ex%2A%28x%2F%28x%2B1%29%2Bln%28x%2B1%29%29

------------------------------------

y%22%22=%22%22sqrt%28x%5E2+%2B+4%29

Square both sides:

y%5E2%22%22=%22%22x%5E2+%2B+4

2y%2A%22y%27%22%22%22=%22%222x

%22y%27%22%22%22=%22%22%282x%29%2F%282y%29

%22y%27%22%22%22=%22%22x%2Fy

Substitute for y on the right using the ORIGINAL equation

%22y%27%22%22%22=%22%22x%2Fsqrt%28x%5E2+%2B+4%29
 

That's the answer, but you were instructed to use 
natural logs.  So let's do it using natural logs:

y%22%22=%22%22sqrt%28x%5E2+%2B+4%29

Change the square root to the 1/2 power:

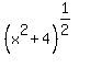
y%22%22=%22%22%28x%5E2+%2B+4%29%5E%281%2F2%29

ln%28y%29%22%22=%22%22ln%28%28x%5E2+%2B+4%29%5E%281%2F2%29%29

ln%28y%29%22%22=%22%22expr%281%2F2%29%2Aln%28x%5E2+%2B+4%29

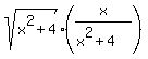
%22y%27%22%2Fy%22%22=%22%22expr%281%2F2%29%2A%28%282x%29%2F%28x%5E2%2B4%29%29

%22y%27%22%2Fy%22%22=%22%22expr%281%2Fcross%282%29%29%2A%28%28cross%282%29x%29%2F%28x%5E2%2B4%29%29

%22y%27%22%2Fy%22%22=%22%22x%2F%28x%5E2%2B4%29%29

Multiply both sides by y

%22y%27%22%22%22=%22%22y%2A%28x%2F%28x%5E2%2B4%29%29

Substitute for y on the right using the ORIGINAL equation

%22y%27%22%22%22=%22%22sqrt%28x%5E2+%2B+4%29%2A%28x%2F%28x%5E2%2B4%29%29

%22y%27%22%22%22=%22%22%28x%2Asqrt%28x%5E2+%2B+4%29%29%2F%28x%5E2%2B4%29%29

This is the same as the the answer we got when we did
it by squaring both sides, but this way the denominator
came out rationalized.  The two answers are equivalent.

Edwin