SOLUTION: If 7-x = 1/4, what does 49^x equal

Algebra ->  Logarithm Solvers, Trainers and Word Problems -> SOLUTION: If 7-x = 1/4, what does 49^x equal      Log On


   



Question 1044129: If 7-x = 1/4, what does 49^x equal
Found 2 solutions by jim_thompson5910, MathLover1:
Answer by jim_thompson5910(35256) About Me  (Show Source):
You can put this solution on YOUR website!


I'm assuming you meant to write this equation 7%5E%28-x%29+=+1%2F4. If so, then,


7%5E%28-x%29+=+1%2F4


1%2F%287%5Ex%29+=+1%2F4 Rewrite with positive exponents


7%5Ex+=+4 Flip both fractions (ie take the reciprocals)


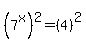
%287%5Ex%29%5E2+=+%284%29%5E2 Square both sides


7%5E%28x%2A2%29+=+16


7%5E%282%2Ax%29+=+16


%287%5E2%29%5Ex+=+16


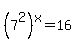
49%5Ex+=+16


The final answer is 16



Answer by MathLover1(20850) About Me  (Show Source):
You can put this solution on YOUR website!

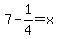
7-x+=+1%2F4, first solve for x
7-1%2F4+=+x
28%2F4-1%2F4+=+x
27%2F4+=+x
than 49%5Ex=49%5E%2827%2F4%29=root%284%2C49%5E27%29%29=2.56