SOLUTION: if log(a+b+c)=loga+logb+logc then prove that log(2a/1-a^2 + 2b/1-b^2 + 2c/1-c^2)= log 2a/1-a^2 + log 2b/1-b^2 + log 2c/1-c^2

Algebra ->  Logarithm Solvers, Trainers and Word Problems -> SOLUTION: if log(a+b+c)=loga+logb+logc then prove that log(2a/1-a^2 + 2b/1-b^2 + 2c/1-c^2)= log 2a/1-a^2 + log 2b/1-b^2 + log 2c/1-c^2      Log On


   



Question 1043663: if log(a+b+c)=loga+logb+logc then prove that log(2a/1-a^2 + 2b/1-b^2 + 2c/1-c^2)= log 2a/1-a^2 + log 2b/1-b^2 + log 2c/1-c^2
Answer by robertb(5830) About Me  (Show Source):
You can put this solution on YOUR website!
We wish to show that log%28%28a%2Bb%2Bc%29%29=loga%2Blogb%2Blogc implies that
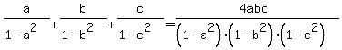
.
For the result to have meaning, it must be that 0 < a,b,c < 1, which can be determined by solving the inequalities
2a%2F%281-a%5E2%29%3E0, 2b%2F%281-b%5E2%29%3E0, and 2c%2F%281-c%5E2%29%3E0.
With this in mind, it is enough to show that
a+b+c = abc ===> . <---- Why?

Now on to the proof:
-%28ab%2Bac%2Bbc%29abc+%2B+%28ab%2Bbc%2Bac%29abc+=+0
===>-%28ab%2Bac%2Bbc%29%28a%2Bb%2Bc%29+%2B+%28ab%2Bbc%2Bac%29abc+=+0, since a+b+c = abc,
===> -ab%28a%2Bb%2Bc%29+-+ac%28a%2Bb%2Bc%29-+bc%28a%2Bb%2Bc%29+%2B+%28ab%2Bbc%2Bac%29abc+=+0
===>
===> -ab%28a%2Bb%29+-ac%28a%2Bc%29-bc%28b%2Bc%29+%2B+%28ab%2Bbc%2Bac%29abc+=+3abc
<===> -a%5E2b+-+ab%5E2+-+a%5E2c+-+ac%5E2+-+b%5E2c-bc%5E2+%2B+%28ab%2Bbc%2Bac%29abc+=+3abc
<===> -+ab%5E2-+ac%5E2+-+a%5E2b+-+bc%5E2++-+a%5E2c+-+b%5E2c++%2B+%28ab%2Bbc%2Bac%29abc+=+3abc after a little rearrangement of terms.
Since a+b+c = abc, we get

===>
<===>
<===>
<===> , after dividing both sides by +%281-a%5E2%29%281-b%5E2%29%281-c%5E2%29

And that's it...