SOLUTION: Solve for x if 2log(x-1)+3log2=log(x+2) Solution is 1.678

Algebra ->  Logarithm Solvers, Trainers and Word Problems -> SOLUTION: Solve for x if 2log(x-1)+3log2=log(x+2) Solution is 1.678      Log On


   



Question 1042897: Solve for x if 2log(x-1)+3log2=log(x+2)
Solution is 1.678

Found 2 solutions by Fombitz, Edwin McCravy:
Answer by Fombitz(32388) About Me  (Show Source):
You can put this solution on YOUR website!
log%28%28x-1%29%5E2%29-log%28%28x%2B2%29%29=-log%28%288%29%29
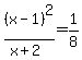
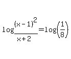
log%28%28x-1%29%5E2%2F%28x%2B2%29%29=log%28%281%2F8%29%29
%28x-1%29%5E2%2F%28x%2B2%29=1%2F8
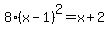
8%28x-1%29%5E2=x%2B2
8x%5E2-17x%2B6=0
Complete the square,
8%28x%5E2-%2817%2F8%29x%29%2B6=0
8%28x%5E2-%2817%2F8%29x%2B%2817%2F16%29%5E2%29%2B6=8%2817%2F16%29%5E2
8%28x-17%2F16%29%5E2=8%2817%2F16%29%5E2-6
8%28x-17%2F16%29%5E2=8%28289%2F256%29%5E2-6%28256%2F256%29
8%28x-17%2F16%29%5E2=776%2F256%29
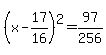
%28x-17%2F16%29%5E2=97%2F256%29
x-17%2F16=0+%2B-+sqrt%2897%29%2F16
x=17%2F16+%2B-+sqrt%2897%29%2F16
x=%2817+%2B-+sqrt%2897%29%29%2F16
However the negative value would lead to a negative argument in the log function so only the positive solution works.
x=%2817%2Bsqrt%2897%29%29%2F16

Answer by Edwin McCravy(20060) About Me  (Show Source):
You can put this solution on YOUR website!
Instead of doing yours for you, I'll do another one exactly
like yours step-by-step, so you can use it as an exact model 
of yours to go by.

2%2Alog%28%28x-3%29%29%2B2%2Alog%28%283%29%29%22%22=%22%22log%28%28x%2B3%29%29

log%28%28%28x-3%29%5E2%29%29%2Blog%28%283%5E2%29%29%22%22=%22%22log%28%28x%2B3%29%29

log%28%28%28x-3%29%5E2%29%29%2Blog%28%289%29%29%22%22=%22%22log%28%28x%2B3%29%29

log%28%289%28x-3%29%5E2%29%29%22%22=%22%22log%28%28x%2B3%29%29

9%28x-3%29%5E2%22%22=%22%22x%2B3

9%28x-3%29%28x-3%29%22%22=%22%22x%2B3

9%28x%5E2-6x%2B9%29%22%22=%22%22x%2B3

9x%5E2-54x%2B81%22%22=%22%22x%2B3

9x%5E2-55x%2B78%22%22=%22%220

x%22%22=%22%22%28-b+%2B-+sqrt%28+b%5E2-4ac+%29%29%2F%282a%29+

x%22%22=%22%22%28-%28-55%29+%2B-+sqrt%28+%28-55%29%5E2-4%289%29%2878%29+%29%29%2F%282%289%29%29+

x%22%22=%22%22%2855+%2B-+sqrt%283025-2808%29%29%2F18+

x%22%22=%22%22%2855+%2B-+sqrt%28217%29%29%2F18+ 

Using the +

x%22%22=%22%223.873939992+

Using the -

x%22%22=%22%222.237171119

Looking at the original equation:

2%2Alog%28%28x-3%29%29%2B2%2Alog%28%283%29%29%22%22=%22%22log%28%28x%2B3%29%29

We see that the answer x%22%22=%22%222.237171119
is an extraneous answer because the first term would be the
log of a negative number, so the only solution is

x%22%22=%22%223.873939992+

Your problem is exactly in every step like yours.  So all
you have to do is use it as an exact model for yours.


O crap.  The other tutor did it for you.  Phooey! :)
Edwin