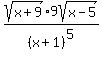
SOLUTION: write the expression as a sum or difference of logarithms ln(square root (x+9) multiply 9square root (x-5) divided by (x+1)^5

Algebra ->  Logarithm Solvers, Trainers and Word Problems -> SOLUTION: write the expression as a sum or difference of logarithms ln(square root (x+9) multiply 9square root (x-5) divided by (x+1)^5      Log On


   



Question 1040288: write the expression as a sum or difference of logarithms ln(square root (x+9) multiply 9square root (x-5) divided by (x+1)^5
Answer by ankor@dixie-net.com(22740) About Me  (Show Source):
You can put this solution on YOUR website!
ln(square root (x+9) multiply 9square root (x-5) divided by (x+1)^5
Assume you mean express in nat logs:
sqrt%28x%2B9%29+%2A+9sqrt%28x-5%29%2F%28x%2B1%29%5E5
the exponent equiv of square roots
%28x%2B9%29%5E%281%2F2%29+%2A+9%28x-5%29%5E%281%2F2%29%2F%28x%2B1%29%5E5
using nat logs

then log equiv of exponents
%281%2F2%29Ln%28x%2B9%29+%2B+%289%2F2%29ln%28x-5%29+-+5%2Aln%28x%2B1%29