SOLUTION: 2logx base 4 + 3log4 base x= 7

Algebra ->  Logarithm Solvers, Trainers and Word Problems -> SOLUTION: 2logx base 4 + 3log4 base x= 7      Log On


   



Question 1038418: 2logx base 4 + 3log4 base x= 7
Answer by Alan3354(69443) About Me  (Show Source):
You can put this solution on YOUR website!
2logx base 4 + 3log4 base x= 7
-----
2log%284%2Cx%29+%2B+3log%284%2Cx%29+=+log%284%2C4%5E7%29
5log%284%2Cx%29+=+log%284%2C4%5E7%29
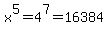
log%284%2Cx%5E5%29+=+log%284%2C4%5E7%29
x%5E5+=+4%5E7+=+16384
x+=+root%285%2C16384%29