SOLUTION: (x-1)/ln3x please solve this derivative

Algebra ->  Logarithm Solvers, Trainers and Word Problems -> SOLUTION: (x-1)/ln3x please solve this derivative      Log On


   



Question 1034404: (x-1)/ln3x please solve this derivative
Answer by Alan3354(69443) About Me  (Show Source):
You can put this solution on YOUR website!
(x-1)/ln3x please solve this derivative
===========
Finding the derivative is not solving.
---
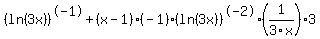
f(x) = (x-1)/ln(3x) = (x-1)*(ln(3x))^-1
f'(x) = %28ln%283x%29%29%5E-1+%2B+%28x-1%29%2A%28-1%29%2A%28ln%283x%29%29%5E-2%2A%281%2F3x%29%2A3 -- product rule
= %28ln%283x%29%29%5E-1+-+%28%28x-1%29%2Fx%29%2A%28ln%283x%29%29%5E-2
--------
Rearrangement and "simplification" is possible.