SOLUTION: find the value of * in: 2* + 4* = 8*

Algebra ->  Logarithm Solvers, Trainers and Word Problems -> SOLUTION: find the value of * in: 2* + 4* = 8*      Log On


   



Question 1019825: find the value of * in:
2* + 4* = 8*

Answer by Fombitz(32388) About Me  (Show Source):
You can put this solution on YOUR website!
2%5Ex%2B4%5Ex=8%5Ex
Use a substitution,
u=2%5Ex
u%5E2=2%5E%282x%29=4%5Ex
u%5E3=2%5E%283x%29=8%5Ex
So then,
u%2Bu%5E2=u%5E3
u%5E3-u%5E2-u=0
u%28u%5E2-u-1%29=0
Solving the quadratic,
u%5E2-u-1=0
u%5E2-u%2B1%2F4-1=1%2F4
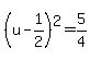
%28u-1%2F2%29%5E2-1=1%2F4
%28u-1%2F2%29%5E2=5%2F4
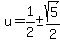
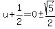
u%2B1%2F2=0+%2B-+sqrt%285%29%2F2
u=1%2F2+%2B-+sqrt%285%29%2F2
So then, there are three "u" solutions,
u=0
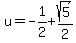
u=-1%2F2%2Bsqrt%285%29%2F2
u=-1%2F2-sqrt%282%29%2F2
Substituting back,
2%5Ex=0
There is no x value that would yield a value of zero.
2%5Ex=1%2F2-sqrt%285%29%2F2
There is no x value that would yield a negative value.
2%5Ex=%28sqrt%285%29-1%29%2F2
x=log%282%2C%28%28sqrt%285%29%2B1%29%2F2%29%29%29
x=0.694
.
.
.
.