SOLUTION: Log base 3 of (2-3x) = log base 9 of (6x^2 - 19x + 2)

Algebra ->  Logarithm Solvers, Trainers and Word Problems -> SOLUTION: Log base 3 of (2-3x) = log base 9 of (6x^2 - 19x + 2)      Log On


   



Question 1000274: Log base 3 of (2-3x) = log base 9 of (6x^2 - 19x + 2)
Answer by MathLover1(20850) About Me  (Show Source):
You can put this solution on YOUR website!

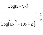
log+%28+3+%2C+%282-3x%29+%29=+log+%289+%2C+%286x%5E2+-+19x+%2B+2%29%29........change the base to base 10




log+%28+%282-3x%29+%29%2Flog+%28+%286x%5E2+-+19x+%2B+2%29%29=+1%2F2 .....cross multiply
2%2Alog+%28+%282-3x%29+%29=+1%2Alog+%28+%286x%5E2+-+19x+%2B+2%29%29
log+%28+%282-3x%29%5E2+%29=+log+%28+%286x%5E2+-+19x+%2B+2%29%29...if log same, than we have
%282-3x%29%5E2+=+6x%5E2+-+19x+%2B+2
4-12x%2B9x%5E2+=+6x%5E2+-+19x+%2B+2
4-12x%2B9x%5E2+-6x%5E2+%2B+19x+-+2=0
3x%5E2++%2B+7x+%2B2=0
3x%5E2+%2Bx+%2B+6x+%2B2=0
%283x%5E2+%2Bx%29+%2B+%286x+%2B2%29=0
x%283x+%2B1%29+%2B2+%283x+%2B1%29=0
%28x%2B2%29+%283x%2B1%29+=+0

if %28x%2B2%29++=+0=>x=-2
if +%283x%2B1%29+=+0=>x=-1%2F3