Question 988607: The fourth term of a geometric progression exceeds the third term by 54, and the sum of the second and third term is 36. Find the common ratio if it is positive
Found 3 solutions by MathLover1, KMST, MathTherapy: Answer by MathLover1(20850) (Show Source): Answer by KMST(5328) (Show Source): Answer by MathTherapy(10552) (Show Source):
You can put this solution on YOUR website! The fourth term of a geometric progression exceeds the third term by 54, and the sum of the second and third term is 36. Find the common ratio if it is positive
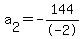
Since , then , , and
Since exceeds by 54, then we can say that:

---------- eq (i)
Since the sum of and is 36, then we can say that: 

--------- eq (ii)
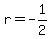
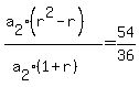
Since and , we can then say that: 
------ Cross-multiplying
-------- Factoring out GCF, 18





(r - 3)(2r + 1) = 0
Common ratio, or OR (ignore, since r MUST be > 0)
|
|
|